首页
软考题库
知识库
APP
注册/登录
题目
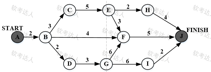
某软件项目的活动图如下图所示,其中顶点表示项目里程碑,连接顶点的边表示包含的活动,边上的数字表示活动的持续时间(天),则完成该项目的最少时间为( )天。活动BC和BF分别最多可以晚开始( )天而不会影响整个项目的进度。
作答
11
15
16
18
答案/解析
查看试卷及答案