题目

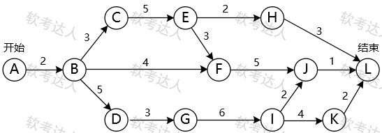
某软件项目的活动图如下图所示,其中顶点表示项目里程碑,连接顶点的边表示包含的活动,边上的数字表示活动的持续时间(天),则完成该项目的最少时间为(  )天。活动BD最多可以晚开始(  )天而不会影响整个项目的进度。

作答
15
21
22
24
答案/解析
查看试卷及答案