首页
软考题库
知识库
APP
注册/登录
题目
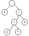
与算术表达式3 - (2+7) /4对应的二叉树为( )。
作答
答案/解析
查看试卷及答案