首页
软考题库
知识库
APP
注册/登录
题目
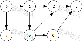
对于下面的有向图,其邻接矩阵是一个( )的矩阵,采用邻接链表存储时,顶点0的表结点个数为 2,顶点3的表结点个数为0,顶点1的表结点个数为( )。
作答
0
1
2
3
答案/解析
查看试卷及答案