首页
软考题库
知识库
APP
注册/登录
题目
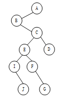
对于一般的树结构,可以采用孩子-兄弟表示法,即每个结点设置两个指针域,一个指针(左指针)指示当前结点的第一个孩子结点,另一个指针(右指针)指示当前结点的下一个兄弟结点。某树的孩子-兄弟表示如下图所示。以下关于结点D与E的关系的叙述中,正确的是( )。
作答
结点D与结点E是兄弟
结点D是结点E的祖父结点
结点E的父结点与结点D的父结点是兄弟
结点E的父结点与结点D是兄弟
答案/解析
查看试卷及答案