首页
软考题库
知识库
APP
注册/登录
题目
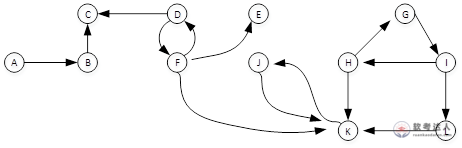
某社区有12个积极分子A~L,他们之间的联系渠道见下图。居委会至少需要通知他们之中( )个人,才能通过联系渠道通知到所有积极分子。
作答
1
2
3
4
答案/解析
查看试卷及答案