首页
软考题库
知识库
APP
注册/登录
题目
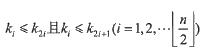
对于n个元素的关键字序列(k1,k2,...kn),当且仅当满足关系
时称为小根堆(小顶堆)。以下序列中,(
38)
不是小根堆。
作答
12,20, 36,48,25, 50,40
12, 36,20,48,40, 25, 50
12,20,25,36,40,48,50
12,36,20,48,25, 50,40
答案/解析
查看试卷及答案