首页
软考题库
知识库
APP
注册/登录
题目
试题一(15分)
阅读以下说明和流程图,填写流程图中的空缺,将解答填入答题纸的对应栏内。
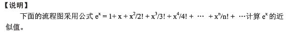
【说明】
设x位于区间(0, 1),该流程图的算法要点是逐步累积计算每项
的值(作为 T),再逐步累加T值得到所需的结果S。当T值小于10
-5
时,结束计算。
【流程图】
【问题1】(15分)
(1):
(2):
(3):
(4):
(5):
作答
本题暂不支持做答,请点击“解析“以对比解题思路
答案/解析
查看试卷及答案