题目

试题六(15分)
阅读以下说明和Java代码,填写程序中的空缺,将解答写入答题纸的对应栏内。
【说明】
某学校在学生毕业时要对其成绩进行综合评定,学生的综合成绩(GM)由其课程加权平均成绩(Wg)与附加分(处)构成,即GPA=吟+处。
设一个学生共修了n门课程,则其加权平均成绩(吟)定义如下:

其中,gradei、C;分别表示该学生第i门课程的百分制成绩及学分。
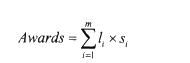
学生可以通过参加社会活动或学科竞赛获得附加分(dg)。学生参加社会活动所得的活动分(Apoints)是直接给出的,而竞赛分(dwarfs)则由下式计算(一个学生最多可参加m项学科竞赛):

其中,li 和Si分别表示学生所参加学科竞赛的级别和成绩。
对于社会活动和学科竞赛都不参加的学生,其附加分按活动分为0计算。
下面的程序实现计算学生综合成绩的功能,每个学生的基本信息由抽象类Studem描述,包括学号(stuNo)、姓名(name)、课程成绩学分(grades)和综合成绩(GPA)等,参加社会活动的学生由类ActStudent描述,其活动分由Apoints表示,参加学科竞赛的学生由类CmpStudent描述,其各项竞赛的成绩信息由awards表示。






【问题1】(15分)
(1):
(2):
(3):
(4):
(5):
(6):

作答
本题暂不支持做答,请点击“解析“以对比解题思路
答案/解析
查看试卷及答案