题目

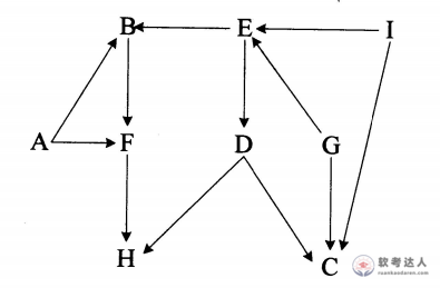
某企业在职培训需要开设九门课程(编号为A~I,但是每次只能开设1门。有些课程之间有先修关系(见下图):“甲→乙”表示课程甲必须先于课程乙开设(不要求一定紧接)。将这九门课程按拓扑排序,意味着顺序排列后的课程将全部保持所要求的先修关系。( )属于拓扑排序。


作答
G-A-I-E-F-D-B-H-C
A-G-I-D-B-E-C-F-H
A-G-I-E-B-C-D-F-H
G-A-I-E-B-D-C-F-H
答案/解析
查看试卷及答案