首页
软考题库
知识库
APP
注册/登录
题目
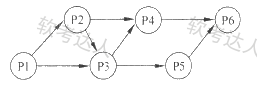
进程P1、P2、P3、P4、P5和P6 的前趋图如下所示:
若用PV操作控制这6个进程的同步与互斥的程序如下,那么程序中的空①和空②处应分别为(/);空③和空④处应分别为(/);空⑤和空⑥处应分别为( )。
作答
P(S6)和P(S7)V(S8)
V(S6)和V(S7)V(S8)
P(S6)和P(S7)P(S8)
V(S7)和P(S7)P(S8)
答案/解析
查看试卷及答案