首页
软考题库
知识库
APP
注册/登录
题目
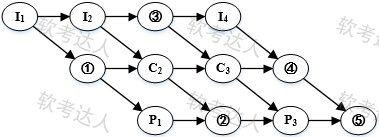
假设某计算机系统中只有一个CPU、一台输入设备和一台输出设备,若系统中有四个作业T1、T2、T3和T4,系统采用优先级调度,且T1的优先级>T2的优先级>T3的优先级>T4的优先级。每个作业T
i
具有三个程序段:输入I
i
、计算C
i
和输出P
i
(i=1,2,3,4),其执行顺序为I
i
→C
i
→P
i
。这四个作业各程序段并发执行的前驱图如下所示。图中①、②分别为( ),③、④、⑤分别为( )。
作答
C
2
、C
4
、P
4
I
2
、I
3
、C
4
I
3
、P
3
、P
4
I
3
、C
4
、P
4
答案/解析
查看试卷及答案