首页
软考题库
知识库
APP
注册/登录
题目
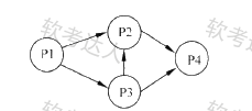
进程P1、P2、P3和P4的前趋图如下所示:
若用PV操作控制进程P1〜P4并发执行的过程,则需要设置5个信号量S1、S2、S3、S4和S5,且信号量S1〜S5的初值都等于0。下图中a、b和c处应分别填写(/)d、e和f处应分别填写( )。
作答
P(S2)、V(S3)V(S5)和P(S4)P(S5)
V(S2)、P(S3)V(S5)和V(S4)P(S5)
P(S2)、V(S3)P(S5)和P(S4)V(S5)
V(S2)、V(S3)P(S5)和P(S4)V(S5)
答案/解析
查看试卷及答案