题目

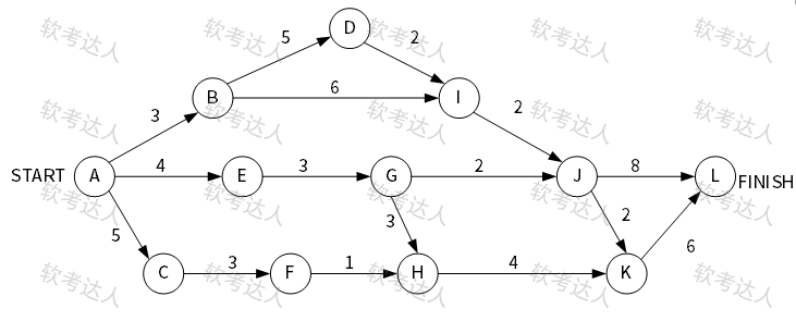
下图是一个软件项目的活动图,其中顶点表示项目里程碑,连接顶点的边表示包含的活动,边上的权重表示完成该活动所需要的时间(天)。则关键路径长度为(  )。在其他活动正常进行的前提下,活动CF可以晚(  )天开始而不会影响工期。


作答
0
1
2
3
答案/解析
查看试卷及答案