题目

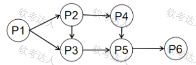
进程P1、P2、P3、P4、P5和P6的前趋图如下所示:

若用PV操作控制这6个进程的同步与互斥的程序如下,那么程序中的空①和空②分别为(   ); 空③和空④处应分别为(   ); 空⑤和空⑥处应分别为(   )。


作答
P(S5)P(S6)和P(S7)
V(S5)V(S6)和V(S7)
P(S5)P(S6)和V(S7)
V(S5)V(S6)和P(S7)
答案/解析
查看试卷及答案