首页
软考题库
知识库
APP
注册/登录
题目
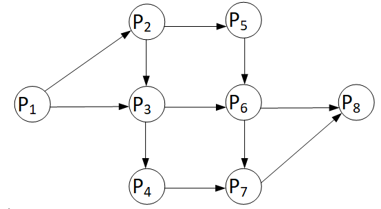
前趋图(Precedence Graph)是一个有向无环图,记为: →= {(Pi,Pj)Pi must complete before Pj may start}。假设系统中进程P={P1,P2,P3,P4,P5,P6,P7,P8}, 且进程的前趋图如下:
那么,该前驱图可记为 ()
作答
→={(P 1,P 2),(P 1,P 3),(P 1,P 4),(P 2,P 5),(P 3,P 5),(P 4,P 7),(P 5,P 6),(P 5,P 7),(P 7,P 6),(P 4,P 5),(P 6,P 7),(P 7,P 8)}
→={(P 1,P 2),(P 1,P 3),(P 1,P 4),(P 2,P 3),(P 2,P 5),(P 3,P 4),(P 3,P 6),(P 4,P 7),(P 5,P 6),(P 5,P 8),(P 6,P 7),(P 7,P 8)}
→={(P 1,P 2),(P 1,P 3),(P 1,P 4),(P 2,P 3),(P 2,P 5),(P 3,P 4),(P 3,P 5),(P 4,P 6),(P 5,P 7),(P 5,P 8),(P 6,P 7),(P 7,P 8)}
→={(P 1,P 2),(P 1,P 3),(P 2,P 3),(P 2,P 5),(P 3,P 4),(P 3,P 6),(P 4,P 7),(P 5,P 6),(P 5,P 8),(P 6,P 7),(P 6,P 8),(P 7,P 8)}
答案/解析
查看试卷及答案